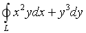
王老师:19139051760(拨打)复制微信 题目 更新时间:2023/8/8 曲线积分,若为轴与半圆所围正向闭路,则该积分结果为。( )·正确·错误 答案 登录 注册 判断题·错误 出自:青书学堂 >> 新疆工程学院发电厂电气部分(专升本) 新疆工程学院继续教育学院