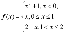
王老师:19139051760(拨打)复制微信 题目 更新时间:2023/8/8 设则在( )·处都间断·处都连续·处间断,处连续·处连续,处间断 答案 登录 注册 单选题·处间断,处连续 出自:青书学堂 >> 新疆工程学院发电厂电气部分(专升本) 新疆工程学院继续教育学院