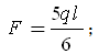
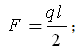
王老师:19139051760(拨打)复制微信 题目 更新时间:2023/8/8 欲使图示梁点C处挠度为零,则F与q的关系为: ···· 答案 登录 注册 单选题· 出自:青书学堂 >> 新疆工程学院发电厂电气部分(专升本) 新疆工程学院继续教育学院