搜题
如搜索结果不匹配,请
联系老师
或
上传试题
获取答案
首页
>
青书学堂
>
长春工程学院高数(2)
王老师:
19139051760
(拨打)
复制微信
题目 更新时间:2023/8/7
·
·
·
·
答案
登录
注册
单选题
·
出自:
青书学堂
>>
长春工程学院高数(2)
长春工程学院继续教育学院
王老师:
19139051760
(拨打)
复制微信
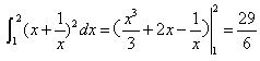
第1题
点击查看答案
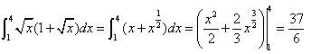
第2题
点击查看答案
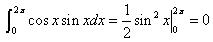
第3题
曲线积分
点击查看答案
第4题
二重积分
点击查看答案
负责人:王老师
19139051760
(拨打)
圆梦题库移动版 ICP证:
豫ICP备11005330号-1