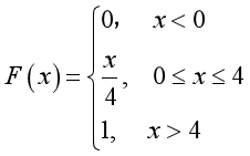
王老师:19139051760(拨打)复制微信 题目 更新时间:2024/5/20 已知随机变量的分布函数是,则的期望( )·0· 1·4· 2 答案 登录 注册 单选题· 2 出自:青书学堂 >> 佳木斯大学语言治疗学 佳木斯大学继续教育学院