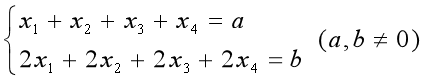
王老师:19139051760(拨打)复制微信 题目 更新时间:2024/5/20 若方程组无解,则( )···· 答案 登录 注册 单选题· 出自:青书学堂 >> 佳木斯大学语言治疗学 佳木斯大学继续教育学院