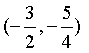
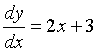
王老师:19139051760(拨打)复制微信 题目 更新时间:2024/1/29 设,则,极值点坐标为。( )·正确·错误 答案 登录 注册 判断题·正确 出自:青书学堂 >> 西南石油大学土木工程施工与组织(专升本) 西南石油大学继续教育学院