单选题预览
2
- A.低阶无穷小量
- B.等价无穷小量
- C.同阶但不等价无穷小量
- D.高阶无穷小量
正确答案: D
本题解析: 【考情点拨】本题考查了高阶无穷小量的知识点
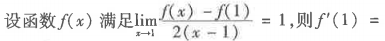
5
- A.-2
- B.-1/2
- C.1/2
- D.2
正确答案: B
本题解析: 【考情点拨】本题考查了曲线的法线的知识点,
【应试指导】 此曲线在点(e,e)处切线的斜率为
三、解答题
置顶
